Войти

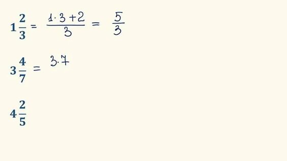
Как преобразовать смешанную дробь в неправильную

Rutube›Witchy Wisdom
Дата публикации 23 апр 202423 апр 2024

Как преобразовать смешанную дробь в неправильную

Как преобразовать смешанную дробь в неправильную

Rutube›Witchy Wisdom
Дата публикации 23 апр 202423 апр 2024

Как преобразовать смешанную дробь в неправильную

{"pages":{"search":{"query":"videoid:12716740858821286115","originalQuery":"","serpid":"1775946580870967-18228572563321979880-balancer-l7leveler-kubr-yp-klg-24-BAL","reqid":"1775946580870967-18228572563321979880-balancer-l7leveler-kubr-yp-klg-24-BAL","parentReqid":"","serpItems":[{"id":"12716740858821286115-0-0","type":"videoSnippet","props":{"videoId":"12716740858821286115"},"curPage":0}],"filters":{},"serpFooter":{"linksGroups":[{"type":"geo","links":[{"label":"Колумбус","title":"Колумбус","url":"//yandex.kz/tune/geo/","logNode":{"name":"region"},"target":"_self","a11yLabel":"Ваш регион Колумбус","needRetpath":true}]},{"type":"searchengines","links":[{"label":"Google","url":"//google.kz/search?tbm=vid&q=videoid%3A12716740858821286115","logNode":{"name":"link","attrs":{"type":"google"}},"target":"_blank"},{"label":"Bing","url":"//bing.com/videos?scope=video&q=videoid%3A12716740858821286115","logNode":{"name":"link","attrs":{"type":"bing"}},"target":"_blank"}]},{"type":"help","links":[{"label":"Обратная связь","url":"https://yandex.kz/support/video/troubleshooting.html","logNode":{"name":"feedback"},"needRetpath":true},{"label":"Справка","url":"https://yandex.kz/support/video/","logNode":{"name":"help"},"needRetpath":true}]},{"type":"settings","links":[{"label":"Настройки","url":"https://yandex.kz/tune/search/","target":"_self","logNode":{"name":"settings"},"needRetpath":true}]},{"type":"company","links":[{"label":"О компании","url":"//yandex.kz/company/","logNode":{"name":"about"},"target":"_blank"},{"label":"Лицензия на использование","url":"//yandex.kz/legal/termsofuse/","logNode":{"name":"license"},"target":"_blank"},{"label":"Политика конфиденциальности","url":"//yandex.kz/legal/confidential/","logNode":{"name":"confidential"},"target":"_blank"}],"a11yHidden":true}],"hasExtralinks":true},"currentPage":0,"prevPageToLoad":-1,"nextPageToLoad":1,"isTranslationsFilterEnabled":false,"isTranslationsDistributionEnabled":true,"isTranslationsDistributionOnboardingEnabled":true,"prevention":{},"hasNextPage":false,"rightSerpItems":[{"type":"direct","id":"search-list-right","props":{"advRsyaActivateParams":{"pcodeParams":{"blockId":"R-I-8843654-1","renderTo":"search-list-right-0-R-I-8843654-1","pageNumber":0,"grab":"dHZpZGVvaWQ6MTI3MTY3NDA4NTg4MjEyODYxMTUK","darkTheme":false,"lazyLoad":false,"extParams":{"reqid":"1775946580870967-18228572563321979880-balancer-l7leveler-kubr-yp-klg-24-BAL","ui":"desktop","yuid":"5741309731775946579"}}},"isAdult":false,"position":0,"placement":"search-list-right"},"curPage":0}],"isAdultQuery":false,"errorList":[],"layout":"list","retpath":"https%3A%2F%2Fyandex.kz%2Fvideo%2Fpreview%2F12716740858821286115","pages":[{"reqid":"1775946580870967-18228572563321979880-balancer-l7leveler-kubr-yp-klg-24-BAL","start":0,"end":1,"pageNumber":0,"isCounterSent":false}]},"main":{"_isInitial":true,"snippets":[],"serpFooter":{"linksGroups":[]},"isLoggedIn":false,"tags":[]}},"internal":{"nonce":"8228572563321979880724","expFlags":{"video_settings_toolbar_redesign":1,"velocity_delay_drawer":1,"video_feedback_in_d2d":1,"video_relqueries_new_format":1,"video_search_toggle_with_text":1,"video_viewer_show_placeholder":1,"velocity_disable_suspense":1,"video_viewer_desktop_smart_layout":1,"dark_theme_desktop":"cookie","video_viewer_check_sandbox_origin":1,"video_font_yandex_sans":1,"video_adv_new_show_rules":1,"video_adv_config_desktop":{"search-list":{"adult":{"default":"R-I-474674-135","mail":"R-A-13426421-23"},"regular":{"default":"R-I-48058-751","mail":"R-A-13411721-23"}},"search-grid-inplace":{"adult":{"default":"R-I-474674-126","mail":"R-A-13426421-16"},"regular":{"default":"R-I-48058-742","mail":"R-A-13411721-16"}}},"video_search_page_no_islands":1,"video_vh_player_js":0,"video_masthead_ratio":"180,4","video_searchdata_scheme":1,"video_viewer_related_fail_error_screen":1,"velocity_delay_metrika":1,"video_viewer_channel_link_mode":2,"video_partner_label":1,"mmui_extended_escape_scheme":"searchdata.clips.0.authorname","spok":"id","video_suggest_use_serp":1,"video_search_grid_direct_repeat":6,"video_direct_config_desktop_search":"search-grid-row:R-I-48058-718:R-I-474674-109,search-grid-head:R-I-2120168-7","init_meta":{"enable-yabs-distr":1,"ask-user-purchase-history":1,"use-src-videoquickp":1,"enable-begemot":1,"enable_masthead":1,"use-src-videop":1,"use-src-videoquickp_misspell":1,"enable_blackbox_multisession":1,"begemot-enable-cancelled-misspell-rtmr":1,"enable_video_iron_fetcher":1,"use-related-only":1,"ask-yandex-io-devices":1,"use-images-device-setup":1,"use-src-imagesp":1,"images-apphost-collections-front":1,"enable_aab_apphost":1,"graph-is-video-search":1,"bg-bert-video":1,"use-src-imagesp_misspell":1,"use-src-imagesultrap":1,"use-video-apphost-pre-templates":1,"use-src-videop_misspell":1,"use-video-apphost-post-templates":1,"use-src-imagesquickp":1,"enable_video_carousels":"1","restrict-max-docs":"1000","use-images-region-setup":1,"use-post-auto2":1,"use-images-settings-setup":1,"use-src-ugc_favorites":1,"use-images-user-setup":1,"use-video-pre-search-data":1,"begemot-no-suggest-history":1},"video_depot_viewer_masthead_ssr_only":1,"video_blender":1,"video_kebab_advanced_actions":1,"video_search_grid_enable":0,"video_viewer_desktop_fix_d2d_scroll":1,"video_depot_viewer_legacy_counters":1,"video_search_grid_direct_start":3,"video_adv_new_show_rules_docs_count":1,"video_redirect_plug":2,"video_adv_grid_inplace":1,"dark_theme_desktop_default_pref":"system","video_search_toggle_enable":1,"velocity_split_hydration":4,"video_duration_counter_new_format":1,"video_force_grid_on_premordie":1,"video_morda_header_nav":1,"video_nohost_full_filter":0,"video_baobab_blockstat":1,"video_thumb_poster_full":1,"video_scrollpages":2,"video_serp_desktop_block_design":1,"video_nohost_youtube_filter":0,"video_viewer_host_link_mode":1,"video_comments_smart_nonstop":1},"slots":["1519499,0,39;1193347,0,35;124067,0,47;1533631,0,9;1470057,0,96;1534929,0,81;1522694,0,92;1521159,0,79;1532372,0,57;1431646,0,0;260556,0,55;1530695,0,95;1497990,0,9;1491706,0,8;1531445,0,56;1535767,0,68;1519858,0,31;1525607,0,30;1535079,0,88;1523235,0,20;1525089,0,86;1522489,0,5;1524278,0,54;1524502,0,15;1525786,0,81;90501,0,77;1503416,0,68;263460,0,60;255407,0,60;1509174,0,82;45961,0,52;1534946,0,69;1528214,0,36;1401741,0,29;1526229,0,15;1515124,0,76;45972,0,84;90497,0,92;1530379,0,12;151171,0,95;126330,0,64;1281084,0,89;287509,0,88;1482975,0,82;1524368,0,2;1530818,0,1;1524521,0,64;1531174,0,21;1529214,0,28"],"isYandexNet":false,"platform":"desktop","isEnLogo":false,"retpath":"https%3A%2F%2Fyandex.kz%2Fvideo%2Fpreview%2F12716740858821286115","mordaUrl":"//yandex.kz/","videoSearchUrl":"https://yandex.kz/video/search?text=%D0%9A%D0%B0%D0%BA+%D0%BF%D1%80%D0%B5%D0%BE%D0%B1%D1%80%D0%B0%D0%B7%D0%BE%D0%B2%D0%B0%D1%82%D1%8C+%D1%81%D0%BC%D0%B5%D1%88%D0%B0%D0%BD%D0%BD%D1%83%D1%8E+%D0%B4%D1%80%D0%BE%D0%B1%D1%8C+%D0%B2+%D0%BD%D0%B5%D0%BF%D1%80%D0%B0%D0%B2%D0%B8%D0%BB%D1%8C%D0%BD%D1%83%D1%8E","settingsUrl":"https://yandex.kz/tune/search/","helpUrl":"https://yandex.ru/support/video/","legalUrl":"//company.yandex.ru/legal/termsofuse/","feedbackUrl":"https://yandex.kz/support/video/troubleshooting.html","basename":"/video","currentPageName":"previewShort","isYandexApp":false,"isYandexAppAndroid":false,"isYandexAppIos":false,"isAnyYaBro":false,"isAndroid":false,"isHamster":false,"serpid":"1775946580870967-18228572563321979880-balancer-l7leveler-kubr-yp-klg-24-BAL","backUrl":"//ya.ru","url":"https://yandex.kz/video/preview/12716740858821286115?","isIntegrationTest":false,"isEndToEndTest":false,"shouldDropLogs":false,"seo":{"title":"Как преобразовать смешанную дробь в неправильную - Смотреть онлайн в поиске Яндекса по Видео","description":"В этом видео мы рассматриваем, как перевести смешанную дробь в неправильную дробь. Как обычно данно...","keywords":"","shareTitle":""},"isEmbedded":false,"isPumpkin":false,"sessionCsrfToken":"y4e06396f5fd7e2d1a0a53b3496521fe0","reportFeedbackBaseProps":{"initEmail":"","metaFields":{"userAgent":"Mozilla/5.0 AppleWebKit/537.36 (KHTML, like Gecko; compatible; ClaudeBot/1.0; +claudebot@anthropic.com)","userTestids":"1519499,1193347,124067,1533631,1470057,1534929,1522694,1521159,1532372,1431646,260556,1530695,1497990,1491706,1531445,1535767,1519858,1525607,1535079,1523235,1525089,1522489,1524278,1524502,1525786,90501,1503416,263460,255407,1509174,45961,1534946,1528214,1401741,1526229,1515124,45972,90497,1530379,151171,126330,1281084,287509,1482975,1524368,1530818,1524521,1531174,1529214","queryText":"","reqid":"1775946580870967-18228572563321979880-balancer-l7leveler-kubr-yp-klg-24-BAL","userRegionName":"","userRegionId":"id() {\n return this._region.id;\n }","yandexuid":"5741309731775946579","uid":"0","isChildAccount":false}},"userTestids":"191768,238743,246500,253288,265553,270072,277807,274239,294077,278842,331010,338398,359879,415420,644350,652605,645301,679708,689693,690449,696466,696473,722746,740796,776165,771230,781521,790415,801982,851450,886706,883477,900639,931367,937268,969063,935488,945314,989988,982463,991363,990185,1015567,1011895,1035320,1033956,1035241,1036046,1087297,1060131,1071879,1078818,1077703,1116602,1045814,1131637,1144233,1151726,1156933,1174275,1167408,1202006,1194718,1221235,1228280,1226860,1246754,1313283,1321224,1300570,1320679,1352408,1342688,1341968,1345362,1367583,1348424,1382036,1391511,1384451,1402882,1407422,1417605,1424780,1429092,1438908,1444206,1449283,1452713,1457995,1459585,1461130,1492788,1495633,1511916,1514845,1529839,1299604","regionId":20815,"isYaRu":false,"shouldUnmountSearchPageInViewer":false,"videoGlobalContext":{"platform":"desktop","isPumpkin":false,"language":"ru","user_time":{"epoch":"1775946580","tz":"America/Louisville","to_iso":"2026-04-11T18:29:40-0400","__is_plain":1},"isHermione":false,"shouldStubImages":true,"enableVideoPreviewInHermione":false,"reqid":"1775946580870967-18228572563321979880-balancer-l7leveler-kubr-yp-klg-24-BAL","isEmbedded":false,"shouldShowMainPageButtonInViewer":false,"shouldDisableWebp":false,"removeLinkPrefix":"/video","shouldUseHighresPreview":true,"shouldCutSnippetTitle":true,"shouldShowPlusBadge":true,"reportFeedbackBaseProps":{"initEmail":"","metaFields":{"userAgent":"Mozilla/5.0 AppleWebKit/537.36 (KHTML, like Gecko; compatible; ClaudeBot/1.0; +claudebot@anthropic.com)","userTestids":"1519499,1193347,124067,1533631,1470057,1534929,1522694,1521159,1532372,1431646,260556,1530695,1497990,1491706,1531445,1535767,1519858,1525607,1535079,1523235,1525089,1522489,1524278,1524502,1525786,90501,1503416,263460,255407,1509174,45961,1534946,1528214,1401741,1526229,1515124,45972,90497,1530379,151171,126330,1281084,287509,1482975,1524368,1530818,1524521,1531174,1529214","queryText":"","reqid":"1775946580870967-18228572563321979880-balancer-l7leveler-kubr-yp-klg-24-BAL","userRegionName":"","userRegionId":"id() {\n return this._region.id;\n }","yandexuid":"5741309731775946579","uid":"0","isChildAccount":false}},"deviceDetect":{"OSFamily":"Unknown","isTV":0,"x64":0,"GoogleToolBarVersion":"","MultiTouch":0,"BrowserBase":"","YandexBarVersion":"","isTablet":0,"YandexBar":0,"hasWebOmni":0,"isTouch":0,"hasYandexCamera":0,"isMobile":0,"DeviceKeyboard":"","device":"desktop","TurboAppPlatformVersion":"","historySupport":0,"BrowserShellVersion":"","DeviceVendor":"","isBrowser":0,"hasFlash":0,"MailRuSputnikVersion":"","isSameSiteSupported":0,"BrowserBaseVersion":"","BrowserVersionRaw":"","hasWebVert":0,"DeviceId":"","error":"","MailRuAgent":0,"ScreenWidth":0,"inAppBrowser":0,"hasHTML5":0,"isEmulator":0,"J2ME":0,"MailRuAgentVersion":"","BrowserEngineVersionRaw":"537.36","isRobot":1,"__is_plain":1,"BrowserEngineVersion":"0537.0036","BrowserName":"Unknown","DeviceModel":"","BrowserEngine":"WebKit","DeviceName":"","OSVersionRaw":"","OSName":"","GoogleToolBar":0,"ScreenSize":"","isTurboApp":0,"MailRuSputnik":0,"YaBuildName":"","isWAP":0,"PreferMobile":0,"DesktopMode":0,"BrowserVersion":"","BitsPerPixel":0,"BrowserShell":"","YaGUI":"","isBeta":0,"OSVersion":"","ScreenHeight":0},"nonce":"8228572563321979880724","disableDoc2DocHostLink":false,"shouldHideChannelLink":false,"disableChannelLink":false,"userConnectionRtt":165,"animated":false,"isDoc2DocScrollFix":true,"smartDesktopLayout":true,"enableVIImprovements":false,"enableLazyPoster":false,"isAdvDisabled":false,"isVideoTranslationSupported":false,"isSummaryDisabled":false,"isSummaryOnlineEnabled":false,"shouldRenderBroSummaryApiContainer":false,"shouldDropLogs":false,"shouldUseBeacon":false,"hasAdBlock":false,"rknWarnHosts":[""],"postInstreamScreenDuration":2000,"minVideoDurationForInstream":120,"isInstreamEnabledInTesting":false,"wildcard":false,"disableEarlyEventsUnsubscribe":false,"showDebugRelatedURL":false,"shouldUseBetaErrorLogging":false,"shouldShowMetaUnderPlayer":false,"isVideoViewerMetaTitleHidden":false,"headerNoFavicon":false,"headerBranded":false,"shouldCensorSensitiveContent":false,"shouldCensorShockContent":false,"isAdvUnderPlayerTransparent":false,"isDoc2DocGridLayoutEnabled":false,"isWatchingProgressInDoc2DocEnabled":false,"detailsRedesignEnabled":false,"detailsRedesignV2Enabled":false,"detailsRedesignV3Enabled":false,"isD2DEmptyLoadFixDisabled":false,"isRoundedPlayerEnabled":false,"isSettingsToolbarRedesign":true,"isDoc2DocEmptyRetryEnabled":false,"isTouchAdvWithBackdrop":false,"isDoc2DocErrorScreenEnabled":true,"isDoc2DocFeedbackKebabEnabled":true,"isCommentsEnabled":false,"isCommentsCountOnSnippetsEnabled":false,"isCommentsSmartNonStopEnabled":true,"isCommentsOnboardingEnabledInTesting":false,"commentsOnboardingTextVariant":null,"isVideoMainButtonInitiallyCollapsed":false,"isAdvUnderPlayerWithInnerPadding":false,"isKebabAdvancedActionsEnabled":true,"isKebabOnTouchVideoSearchEnabled":false,"isAdvVideoListLikeUnderPlayer":false,"isSummaryInMetaButtons":false,"isSummaryInMetaButtonsDesktop":false,"isMetaCommentsButtonEnabled":false,"isCommentsAuthPopup":false,"preventAdvHideOnEmpty":false,"isPlayerChangeCounterEnabled":false,"isSmallTitle":false,"shouldRestoreMuteState":false,"isAdvUnderPlayerWithSlider":false,"isAdvUnderPlayerCommentsAligned":false,"isSerialNavigatorDisabled":false},"shouldShowAdvId":false,"isAdultQuery":false,"isSensitivePage":false,"showSensitive":false,"showShock":false,"shouldReplaceHref":false},"user":{"tld":"kz","isEuDomain":false,"login":"","passportId":"","isLoggedIn":false,"locationName":"Колумбус","isFamily":false,"yandexuid":"5741309731775946579","ugcCsrfToken":"","family":1,"isChild":false},"config":{"skinMode":"system","skin":"light","version":"releases-frontend-video-v1.1804.0__c96ad8f402f71d35f952e7e02cbf06da1bf59a70","isGridSupported":false,"advConfig":{"under-player":{"regular":{"default":"R-I-48058-725","mail":"R-A-13411721-6"},"adult":{"default":"R-I-474674-114","mail":"R-A-13426421-6"}},"under-player-lite":{"regular":{"default":"R-I-48058-728"},"adult":{"default":"R-I-474674-103"}},"under-player-old":{"regular":{"default":"R-I-48058-725","mail":"R-A-13411721-6"},"adult":{"default":"R-I-474674-114","mail":"R-A-13426421-6"}},"video-list":{"regular":{"default":"R-I-48058-708","mail":"R-A-13411721-2"},"adult":{"default":"R-I-474674-101","mail":"R-A-13426421-2"}},"search-list":{"adult":{"default":"R-I-474674-135","mail":"R-A-13426421-23"},"regular":{"default":"R-I-48058-751","mail":"R-A-13411721-23"}},"search-grid-row":{"regular":{"default":"R-I-48058-718","mail":"R-A-13411721-4"},"adult":{"default":"R-I-474674-109","mail":"R-A-13426421-4"}},"search-grid-head":{"regular":{"default":"R-I-2120168-7"}},"search-list-right":{"regular":{"default":"R-I-8843654-1"}},"before-player-old":{"regular":{"default":"R-I-2120168-1"}},"before-player":{"regular":{"default":"R-I-2120168-1"}},"search-grid-inplace":{"adult":{"default":"R-I-474674-126","mail":"R-A-13426421-16"},"regular":{"default":"R-I-48058-742","mail":"R-A-13411721-16"}}},"isSkinInitedOnClient":false},"counters":{"params":{"useBeacon":false,"clickHost":"yandex.kz/clck","pid":197},"dict":{"viewer":"2921","user":"538","info":"1275","sources":"1500","select":"775","close":"486","open":"842","source":"186","link":"513","click":"882","tech":"690","player":"1242","change":"719","summary":"3410","init":"1309","item":"22","button":"440","shown":"3780","copy":"1276","text":"232","load":"1724","fallback":"2010","channel":"1345","hide":"1656","request_entry_completed":"2021","serp":"471","page":"143","loaded":"1007"}},"clips":{"items":{"12716740858821286115":{"videoId":"12716740858821286115","docid":"34-0-11-Z9FAD1B74CD45C6EA","description":"В этом видео мы рассматриваем, как перевести смешанную дробь в неправильную дробь. Как обычно данное преобразование рассматриваем на конкретных примерах: 00:00 Первый пример.","preview":{"posterSrc":"//avatars.mds.yandex.net/get-vthumb/2339549/009d5606d835639a4d3d75e083005e5b/564x318_1","videoSrc":"https://video-preview.s3.yandex.net/-sNoVgIAAAA.mp4","videoType":"video/mp4"},"target":"_self","position":"0","reqid":"1775946580870967-18228572563321979880-balancer-l7leveler-kubr-yp-klg-24-BAL","isAdultDoc":false,"relatedParams":{"text":"Как преобразовать смешанную дробь в неправильную","related_orig_text":"","related_porno":false,"related_short":true,"related_less_3m_off":true,"client":"d2d","no_cnt":1,"related_src":"serp","related":"{\"porno\":false,\"vfp\":1,\"orig_text\":\"\",\"url\":\"http:\\/\\/rutube.ru\\/video\\/d55a8d9470d0ae656384d6cda3f9992b\\/\",\"src\":\"serp\",\"rvb\":\"EhYKFDEyNzE2NzQwODU4ODIxMjg2MTE1GhYKFDEyNzE2NzQwODU4ODIxMjg2MTE1WhQxMjcxNjc0MDg1ODgyMTI4NjExNWryFhIBMBgAIi8aGAAKEmhod2VqaW5yZmlxZ3ZrdWNoaBIBACoTwg8PGg8_E1aCBCQBkAQr_8q8ESqLARABGniB9-oLAQT7AOYFB_gN_wEAJfcKC_QEAwADA_fyBAT-AAYACAgMAQAA-QTxCQgAAAD6DQj5AP4AAO7qBQUBAAAAIArzBv0AAAAK8AQK_wEAAAAQ_AAD_wAACQUQ_P8AAAAHFgb2AP8AABECDgsAAAAACAYLA_8AAAAgAC320cU7OBNACUhOUAIqhAIQABrwAX8sE_8AF7kE0gT1ABXM1gDnIlf_QErY_770_gDu-Q0B8SQLAP023_7bGAIAtVXxACQBtAD_3Qn_StP7AP_i5ADaz8QBC93sAjEgIv8LxuUB__1N_vDB6f_2C_wBTSvKANzlGPsz7-ABBjrNAykaMAEl-Bn89e4A_Niy1QHS2v8E48IV_MX_3f42IP73r9EwAvAX9gItIxb75xfT_CIBBgYFDRT60SPG_C8PCRFaGd0Aouv1_frXDRI01CUDvCgNCjsmJv3ISwD86_AbBhT7Af8K5-7u0AzkBAbUAhj0_AcMGhP27-0j8u_34gTwOxnn-CAALasx7Do4E0AJSGFQAirPBxAAGsAHEW6avlXmnLxDFoC6I16ovLSsu7ykHr-77QOqvV_8ozw42Iu91IEMPlK9gL0C0sC7dHRBPUGt8btmVkU9QL05PuIbqjkMpdi5dXT8vS8Tmj0LAhC9p3DpPNxTiD3QMyy8wvm0vYp2dDs4hyu9G_YLPsxMBDyzd-s8yi59vUnnrjvglx-93GoZOvURWL0TfFi9G8lUvJ_xM7y5cB484nU7uzn8pDxkk5m7_fK-PX5wHby3pUS8FpJivRFedbs-9NO8JuQjPqOomD34fjQ87zsWvhotjL0RmSi9r-8ePXb3wjvDMQY997e6vIWmmTvLZ7m8E7vBvVmK6blC9vI7IowPvnU5ar1xRoO88H9sPWapwD3lZQk8u33WvZ-HJL35HXk8G9xxPcH6RL3MYmK8kF0zvCxwKD1qQbm8Rv2fvTig5bxfr_I7RZDEvZaw1j0tca48RH5HvXgFx70370m8p60QOrmMuz1aYoo894IlPW12X70jf1W7zOqivQDylDwmIle8-HU7PZwOCT2WXCS7xTVDPfhRDb4Jbyy72HcqvRzNMb7XNIy6YBV5PY480DxBryo7G9aUPavt5jwNmHa835twPVMYtb0a8ey7rXIcvVFjyjuOmcA6dRBKPTQvR73ER92788yGvfB63zw4npG7H43YOyt0GDv2uyg7xZnVPBuLnDzEqoe7w5v3uxV1gzqNlJC7vAjzPankl71UIfA4UZfWPOXRbb2gGky7atnavSND2Lxsl6M5FSwCvBYEtb05nQq63rmmPTtoG73aGcc5zhhmvb_PXTwj7bu5X61_vS7isD0JAjo5QZhAPYqT-71Ma3Y4mqONvcA2jL26UZa4sORKPTVrPz16TQm5VwfgvW8jirzc0co5O4a8PbJFp72hvz65S0QTvdyVZ73yRwG58923vPhEyL3_BdC4AXRuvfnihr3jiYM4QwjDvQZqvL0XTUI59zy_PfrnzrwySdk4GAgSPpIiAr4UaxA6lODovI1HKb0-nqu4BReLPYG6PD25Vi63RwaUvHFyHz79w2Y4gTpKPW3YQL05Hq-357FhPe1ffj0IQyC4GkF5Pcpv8T3OGLe40UH3PV-18j1ideE4PpekvaAYGb2IOOi2QsyKPIrqSL3h6cO1raf2PbPqmLx7Ozq5voPfvHgJDr15e3i4FW9JvSnsEr603kw3DP-ePczuSbwCvsS3coy_ujPcwLyowGa4_81rPal6Qz3KRac4cDNLPTSzyz3Z06e3YoJavVsgZj1kNbs3BF9sveoERD6odqG4IAA4E0AJSG1QASpzEAAaYCX9ABcOH_UHBt4J6cTv-_oRFhoABhj_6gUARzDzBzI13CwL5gAJ6B_NuwAAABoEEfPRAOpYDtgQDwYx79UO1PQffyskOtCcJQ3b_SjaAcYiDfIOBAD2DdhGFwHmLAoBIiAALbJnPjs4E0AJSG9QAiqvBhAMGqAGAAAEQgAAmEEAAERCAADOwgAAgMEAABzCAACMQgAAEEEAACzCAACAvwAAZEIAAABCAAC4QQAA2EEAAAAAAABoQgAAwMAAAPjBAACgQQAAAMEAAKDBAABgQQAAXMIAAJRCAACAwAAAMMIAABRCAACAwAAAEMEAALhBAAAIwgAAIEEAAJzCAADgwAAAcMEAAPBBAAAQQQAAwkIAAADCAAAoQgAAgEAAAARCAACowQAAFMIAACRCAACAwAAAlkIAANhBAACWQgAAwEEAADjCAAAMwgAA2EEAAARCAABAQQAAoMEAACDBAABAQAAAZEIAAIA_AAAYQgAABMIAANjBAABcwgAAFMIAAKjCAACSwgAAEEIAAIDBAADowQAAAMAAANBBAACgwAAAIEEAAGDCAADgwAAAwsIAAADBAAAIQgAAjEIAAKDAAABAQgAA4EAAAODAAAA0wgAAiEEAAKBCAAA4wgAAEEIAAJBBAAC4wQAAAEIAAADAAABAQAAADEIAAIC_AAAMwgAAGEIAAKDBAAD-QgAAnsIAAHDBAAAgQQAA8MEAAABBAAAgQQAA6EEAADBBAADQQQAASEIAADxCAAAIQgAAAMIAABBCAABAwQAA4EEAAKjBAAAMwgAAMEEAAAjCAABwwQAAlMIAAABAAACQQQAAFMIAAOjBAACgwAAA2MEAAPjBAACAvwAAJMIAAHjCAABIQgAAqEEAALDCAAAEQgAAMMEAAHRCAAAwwgAAIEEAAPjBAACAvwAAkEEAAIrCAAC-QgAAvkIAAIA_AAA0QgAAwMAAAPDBAAB4wgAAkMEAAJjBAABYQgAA2EEAAGDBAACswgAAkMEAADjCAADgQQAAAEAAAJhBAADIQQAAAMIAAMBBAADAQAAAHMIAADBCAAAAQAAAyMEAADTCAACAPwAA0EEAAKLCAAAIwgAAwEEAADDBAAAgwQAAoEEAAIC_AACawgAAgEEAAJjBAAAAAAAAgkIAAGDCAABIwgAAiMEAAIDBAAA8QgAAgEAAAPhBAAC4QQAA8MEAABBBAAAAQAAAEEEAAMDAAACQQgAAkEEgADgTQAlIdVABKo8CEAAagAIAAKK-AADgPAAAC78AANi9AAAUPgAAmL0AAKA8AAB_vwAAQLwAAIK-AAAEPgAADL4AAES-AAAQvQAAgLsAABS-AACIPQAADD4AAOq-AAAjPwAA_j4AAIg9AAAUvgAAoLwAADC9AADIvQAAJD4AAFC9AACIPQAAgr4AAOo-AACGvgAAir4AABQ-AACSPgAAEL0AANg9AACavgAATL4AAJq-AADIPQAAUD0AAJo-AABcPgAATL4AAOi9AACGvgAAoDwAAHw-AABAPAAAfL4AAGS-AABAPAAA4j4AADw-AACoPQAAfz8AAHC9AACgvAAAbL4AAEy-AADmPgAABD4AALi9IAA4E0AJSHxQASqPAhABGoACAAARPwAAMD0AAIa-AAADvwAAwr4AAEC8AAC2PgAAML0AADw-AABAvAAAiD0AAPg9AADgvAAAsr4AAOC8AAAEPgAAbL4AAPo-AAB8vgAAxj4AADA9AACKvgAAdL4AAEA8AAC2vgAAFL4AAHC9AACAuwAADD4AABC9AACoPQAA2D0AAN6-AAAEvgAAbL4AAP4-AABUPgAAPD4AAMa-AAB0vgAAXD4AADQ-AACovQAA-D0AAI4-AAADPwAAf78AACS-AAC2PgAAE78AAMi9AABQPQAAqL0AAJa-AAAsPgAAkj4AAJi9AACevgAAED0AAFw-AADovQAA4LwAAIK-AAAEviAAOBNACUh8UAEwCTgBSgBgAGgA\"}","related_url":"http://rutube.ru/video/d55a8d9470d0ae656384d6cda3f9992b/","parent-reqid":"1775946580870967-18228572563321979880-balancer-l7leveler-kubr-yp-klg-24-BAL","related_vfp":1,"relatedVideo":"yes"},"cwidth":1920,"cheight":1080,"cratio":1.77777,"dups":["12716740858821286115"],"episode":0,"season":0,"isEmbedOnly":false,"greenHost":"Rutube","hasTranslation":false,"contentTypeId":null,"censored":false,"censoredShock":false,"isShockDoc":false,"videoContentId":"1482592721"}},"dups":{"12716740858821286115":{"videoId":"12716740858821286115","title":"Как преобразовать смешанную дробь в неправильную","cleanTitle":"Как преобразовать смешанную дробь в неправильную","host":{"title":"Rutube","href":"http://rutube.ru/video/d55a8d9470d0ae656384d6cda3f9992b/","playerUri":"\u003ciframe src=\"//rutube.ru/play/embed/d55a8d9470d0ae656384d6cda3f9992b/?wmode=opaque\" frameborder=\"0\" scrolling=\"no\" allowfullscreen=\"1\" allow=\"autoplay; fullscreen; accelerometer; gyroscope; picture-in-picture\" aria-label=\"Video\">\u003c/iframe>","playerId":"rutube","providerName":"rutube.ru","sourceHost":"rutube.ru","name":"rutube.ru","secondPart":{"type":"CHANNEL","id":"cnV0dWJlLnJ1OzM2NjQ0MjIz","name":"Witchy Wisdom","isVerified":false,"subscribersCount":0,"url":"/video/search?text=Witchy+Wisdom","a11yText":"Witchy Wisdom. "},"faviconUrl":"//favicon.yandex.net/favicon/v2/http%3A%2F%2Frutube.ru?color=255%2C255%2C255%2C0&size=32&stub=1"},"duration":{"value":86,"text":"1:26","a11yText":"Длительность 1 минутa 26 секунд","shortText":"1 мин"},"date":"23 апр 2024","modifyTime":1713847574000,"isExternal":false,"player":{"embedUrl":"https://rutube.ru/play/embed/d55a8d9470d0ae656384d6cda3f9992b/?autoStart=true&wmode=opaque","playerId":"rutube","videoUrl":"http://rutube.ru/video/d55a8d9470d0ae656384d6cda3f9992b/","reqid":"1775946580870967-18228572563321979880-balancer-l7leveler-kubr-yp-klg-24-BAL","duration":86},"parentClipId":"12716740858821286115","href":"/preview/12716740858821286115?parent-reqid=1775946580870967-18228572563321979880-balancer-l7leveler-kubr-yp-klg-24-BAL","rawHref":"/video/preview/12716740858821286115?parent-reqid=1775946580870967-18228572563321979880-balancer-l7leveler-kubr-yp-klg-24-BAL","isEmbedOnly":false,"shouldPlayInstreamPreroll":false,"commentsDisabled":false}}},"viewer":{"_isInitial":false,"clips":{"items":{"12716740858821286115":{"videoId":"12716740858821286115","docid":"34-0-11-Z9FAD1B74CD45C6EA","description":"В этом видео мы рассматриваем, как перевести смешанную дробь в неправильную дробь. Как обычно данное преобразование рассматриваем на конкретных примерах: 00:00 Первый пример.","preview":{"posterSrc":"//avatars.mds.yandex.net/get-vthumb/2339549/009d5606d835639a4d3d75e083005e5b/564x318_1","videoSrc":"https://video-preview.s3.yandex.net/-sNoVgIAAAA.mp4","videoType":"video/mp4"},"target":"_self","position":"0","reqid":"1775946580870967-18228572563321979880-balancer-l7leveler-kubr-yp-klg-24-BAL","isAdultDoc":false,"relatedParams":{"text":"Как преобразовать смешанную дробь в неправильную","related_orig_text":"","related_porno":false,"related_short":true,"related_less_3m_off":true,"client":"d2d","no_cnt":1,"related_src":"serp","related":"{\"porno\":false,\"vfp\":1,\"orig_text\":\"\",\"url\":\"http:\\/\\/rutube.ru\\/video\\/d55a8d9470d0ae656384d6cda3f9992b\\/\",\"src\":\"serp\",\"rvb\":\"EhYKFDEyNzE2NzQwODU4ODIxMjg2MTE1GhYKFDEyNzE2NzQwODU4ODIxMjg2MTE1WhQxMjcxNjc0MDg1ODgyMTI4NjExNWryFhIBMBgAIi8aGAAKEmhod2VqaW5yZmlxZ3ZrdWNoaBIBACoTwg8PGg8_E1aCBCQBkAQr_8q8ESqLARABGniB9-oLAQT7AOYFB_gN_wEAJfcKC_QEAwADA_fyBAT-AAYACAgMAQAA-QTxCQgAAAD6DQj5AP4AAO7qBQUBAAAAIArzBv0AAAAK8AQK_wEAAAAQ_AAD_wAACQUQ_P8AAAAHFgb2AP8AABECDgsAAAAACAYLA_8AAAAgAC320cU7OBNACUhOUAIqhAIQABrwAX8sE_8AF7kE0gT1ABXM1gDnIlf_QErY_770_gDu-Q0B8SQLAP023_7bGAIAtVXxACQBtAD_3Qn_StP7AP_i5ADaz8QBC93sAjEgIv8LxuUB__1N_vDB6f_2C_wBTSvKANzlGPsz7-ABBjrNAykaMAEl-Bn89e4A_Niy1QHS2v8E48IV_MX_3f42IP73r9EwAvAX9gItIxb75xfT_CIBBgYFDRT60SPG_C8PCRFaGd0Aouv1_frXDRI01CUDvCgNCjsmJv3ISwD86_AbBhT7Af8K5-7u0AzkBAbUAhj0_AcMGhP27-0j8u_34gTwOxnn-CAALasx7Do4E0AJSGFQAirPBxAAGsAHEW6avlXmnLxDFoC6I16ovLSsu7ykHr-77QOqvV_8ozw42Iu91IEMPlK9gL0C0sC7dHRBPUGt8btmVkU9QL05PuIbqjkMpdi5dXT8vS8Tmj0LAhC9p3DpPNxTiD3QMyy8wvm0vYp2dDs4hyu9G_YLPsxMBDyzd-s8yi59vUnnrjvglx-93GoZOvURWL0TfFi9G8lUvJ_xM7y5cB484nU7uzn8pDxkk5m7_fK-PX5wHby3pUS8FpJivRFedbs-9NO8JuQjPqOomD34fjQ87zsWvhotjL0RmSi9r-8ePXb3wjvDMQY997e6vIWmmTvLZ7m8E7vBvVmK6blC9vI7IowPvnU5ar1xRoO88H9sPWapwD3lZQk8u33WvZ-HJL35HXk8G9xxPcH6RL3MYmK8kF0zvCxwKD1qQbm8Rv2fvTig5bxfr_I7RZDEvZaw1j0tca48RH5HvXgFx70370m8p60QOrmMuz1aYoo894IlPW12X70jf1W7zOqivQDylDwmIle8-HU7PZwOCT2WXCS7xTVDPfhRDb4Jbyy72HcqvRzNMb7XNIy6YBV5PY480DxBryo7G9aUPavt5jwNmHa835twPVMYtb0a8ey7rXIcvVFjyjuOmcA6dRBKPTQvR73ER92788yGvfB63zw4npG7H43YOyt0GDv2uyg7xZnVPBuLnDzEqoe7w5v3uxV1gzqNlJC7vAjzPankl71UIfA4UZfWPOXRbb2gGky7atnavSND2Lxsl6M5FSwCvBYEtb05nQq63rmmPTtoG73aGcc5zhhmvb_PXTwj7bu5X61_vS7isD0JAjo5QZhAPYqT-71Ma3Y4mqONvcA2jL26UZa4sORKPTVrPz16TQm5VwfgvW8jirzc0co5O4a8PbJFp72hvz65S0QTvdyVZ73yRwG58923vPhEyL3_BdC4AXRuvfnihr3jiYM4QwjDvQZqvL0XTUI59zy_PfrnzrwySdk4GAgSPpIiAr4UaxA6lODovI1HKb0-nqu4BReLPYG6PD25Vi63RwaUvHFyHz79w2Y4gTpKPW3YQL05Hq-357FhPe1ffj0IQyC4GkF5Pcpv8T3OGLe40UH3PV-18j1ideE4PpekvaAYGb2IOOi2QsyKPIrqSL3h6cO1raf2PbPqmLx7Ozq5voPfvHgJDr15e3i4FW9JvSnsEr603kw3DP-ePczuSbwCvsS3coy_ujPcwLyowGa4_81rPal6Qz3KRac4cDNLPTSzyz3Z06e3YoJavVsgZj1kNbs3BF9sveoERD6odqG4IAA4E0AJSG1QASpzEAAaYCX9ABcOH_UHBt4J6cTv-_oRFhoABhj_6gUARzDzBzI13CwL5gAJ6B_NuwAAABoEEfPRAOpYDtgQDwYx79UO1PQffyskOtCcJQ3b_SjaAcYiDfIOBAD2DdhGFwHmLAoBIiAALbJnPjs4E0AJSG9QAiqvBhAMGqAGAAAEQgAAmEEAAERCAADOwgAAgMEAABzCAACMQgAAEEEAACzCAACAvwAAZEIAAABCAAC4QQAA2EEAAAAAAABoQgAAwMAAAPjBAACgQQAAAMEAAKDBAABgQQAAXMIAAJRCAACAwAAAMMIAABRCAACAwAAAEMEAALhBAAAIwgAAIEEAAJzCAADgwAAAcMEAAPBBAAAQQQAAwkIAAADCAAAoQgAAgEAAAARCAACowQAAFMIAACRCAACAwAAAlkIAANhBAACWQgAAwEEAADjCAAAMwgAA2EEAAARCAABAQQAAoMEAACDBAABAQAAAZEIAAIA_AAAYQgAABMIAANjBAABcwgAAFMIAAKjCAACSwgAAEEIAAIDBAADowQAAAMAAANBBAACgwAAAIEEAAGDCAADgwAAAwsIAAADBAAAIQgAAjEIAAKDAAABAQgAA4EAAAODAAAA0wgAAiEEAAKBCAAA4wgAAEEIAAJBBAAC4wQAAAEIAAADAAABAQAAADEIAAIC_AAAMwgAAGEIAAKDBAAD-QgAAnsIAAHDBAAAgQQAA8MEAAABBAAAgQQAA6EEAADBBAADQQQAASEIAADxCAAAIQgAAAMIAABBCAABAwQAA4EEAAKjBAAAMwgAAMEEAAAjCAABwwQAAlMIAAABAAACQQQAAFMIAAOjBAACgwAAA2MEAAPjBAACAvwAAJMIAAHjCAABIQgAAqEEAALDCAAAEQgAAMMEAAHRCAAAwwgAAIEEAAPjBAACAvwAAkEEAAIrCAAC-QgAAvkIAAIA_AAA0QgAAwMAAAPDBAAB4wgAAkMEAAJjBAABYQgAA2EEAAGDBAACswgAAkMEAADjCAADgQQAAAEAAAJhBAADIQQAAAMIAAMBBAADAQAAAHMIAADBCAAAAQAAAyMEAADTCAACAPwAA0EEAAKLCAAAIwgAAwEEAADDBAAAgwQAAoEEAAIC_AACawgAAgEEAAJjBAAAAAAAAgkIAAGDCAABIwgAAiMEAAIDBAAA8QgAAgEAAAPhBAAC4QQAA8MEAABBBAAAAQAAAEEEAAMDAAACQQgAAkEEgADgTQAlIdVABKo8CEAAagAIAAKK-AADgPAAAC78AANi9AAAUPgAAmL0AAKA8AAB_vwAAQLwAAIK-AAAEPgAADL4AAES-AAAQvQAAgLsAABS-AACIPQAADD4AAOq-AAAjPwAA_j4AAIg9AAAUvgAAoLwAADC9AADIvQAAJD4AAFC9AACIPQAAgr4AAOo-AACGvgAAir4AABQ-AACSPgAAEL0AANg9AACavgAATL4AAJq-AADIPQAAUD0AAJo-AABcPgAATL4AAOi9AACGvgAAoDwAAHw-AABAPAAAfL4AAGS-AABAPAAA4j4AADw-AACoPQAAfz8AAHC9AACgvAAAbL4AAEy-AADmPgAABD4AALi9IAA4E0AJSHxQASqPAhABGoACAAARPwAAMD0AAIa-AAADvwAAwr4AAEC8AAC2PgAAML0AADw-AABAvAAAiD0AAPg9AADgvAAAsr4AAOC8AAAEPgAAbL4AAPo-AAB8vgAAxj4AADA9AACKvgAAdL4AAEA8AAC2vgAAFL4AAHC9AACAuwAADD4AABC9AACoPQAA2D0AAN6-AAAEvgAAbL4AAP4-AABUPgAAPD4AAMa-AAB0vgAAXD4AADQ-AACovQAA-D0AAI4-AAADPwAAf78AACS-AAC2PgAAE78AAMi9AABQPQAAqL0AAJa-AAAsPgAAkj4AAJi9AACevgAAED0AAFw-AADovQAA4LwAAIK-AAAEviAAOBNACUh8UAEwCTgBSgBgAGgA\"}","related_url":"http://rutube.ru/video/d55a8d9470d0ae656384d6cda3f9992b/","parent-reqid":"1775946580870967-18228572563321979880-balancer-l7leveler-kubr-yp-klg-24-BAL","related_vfp":1,"relatedVideo":"yes"},"cwidth":1920,"cheight":1080,"cratio":1.77777,"dups":["12716740858821286115"],"episode":0,"season":0,"isEmbedOnly":false,"greenHost":"Rutube","hasTranslation":false,"contentTypeId":null,"censored":false,"censoredShock":false,"isShockDoc":false,"videoContentId":"1482592721"}},"dups":{"12716740858821286115":{"videoId":"12716740858821286115","title":"Как преобразовать смешанную дробь в неправильную","cleanTitle":"Как преобразовать смешанную дробь в неправильную","host":{"title":"Rutube","href":"http://rutube.ru/video/d55a8d9470d0ae656384d6cda3f9992b/","playerUri":"\u003ciframe src=\"//rutube.ru/play/embed/d55a8d9470d0ae656384d6cda3f9992b/?wmode=opaque\" frameborder=\"0\" scrolling=\"no\" allowfullscreen=\"1\" allow=\"autoplay; fullscreen; accelerometer; gyroscope; picture-in-picture\" aria-label=\"Video\">\u003c/iframe>","playerId":"rutube","providerName":"rutube.ru","sourceHost":"rutube.ru","name":"rutube.ru","secondPart":{"type":"CHANNEL","id":"cnV0dWJlLnJ1OzM2NjQ0MjIz","name":"Witchy Wisdom","isVerified":false,"subscribersCount":0,"url":"/video/search?text=Witchy+Wisdom","a11yText":"Witchy Wisdom. "},"faviconUrl":"//favicon.yandex.net/favicon/v2/http%3A%2F%2Frutube.ru?color=255%2C255%2C255%2C0&size=32&stub=1"},"duration":{"value":86,"text":"1:26","a11yText":"Длительность 1 минутa 26 секунд","shortText":"1 мин"},"date":"23 апр 2024","modifyTime":1713847574000,"isExternal":false,"player":{"embedUrl":"https://rutube.ru/play/embed/d55a8d9470d0ae656384d6cda3f9992b/?autoStart=true&wmode=opaque","playerId":"rutube","videoUrl":"http://rutube.ru/video/d55a8d9470d0ae656384d6cda3f9992b/","reqid":"1775946580870967-18228572563321979880-balancer-l7leveler-kubr-yp-klg-24-BAL","duration":86},"parentClipId":"12716740858821286115","href":"/preview/12716740858821286115?parent-reqid=1775946580870967-18228572563321979880-balancer-l7leveler-kubr-yp-klg-24-BAL","rawHref":"/video/preview/12716740858821286115?parent-reqid=1775946580870967-18228572563321979880-balancer-l7leveler-kubr-yp-klg-24-BAL","isEmbedOnly":false,"shouldPlayInstreamPreroll":false,"commentsDisabled":false}},"loadingStatus":"None"},"internal":{"videoId":"12716740858821286115","sandboxEventPrefix":"sandbox:","sandboxVersion":"0x906f9600bf4","isEmbedded":false,"from":"yavideo","service":"ya-video","hbPeriod":30,"table":"video_tech","isInstreamDisabled":true,"nonce":"8228572563321979880724","errorList":[],"isAdultAdv":false,"isImportantCommonAdv":false,"shouldShowAdvId":false,"advConfig":{"under-player":{"regular":{"default":"R-I-48058-725","mail":"R-A-13411721-6"},"adult":{"default":"R-I-474674-114","mail":"R-A-13426421-6"}},"under-player-lite":{"regular":{"default":"R-I-48058-728"},"adult":{"default":"R-I-474674-103"}},"under-player-old":{"regular":{"default":"R-I-48058-725","mail":"R-A-13411721-6"},"adult":{"default":"R-I-474674-114","mail":"R-A-13426421-6"}},"video-list":{"regular":{"default":"R-I-48058-708","mail":"R-A-13411721-2"},"adult":{"default":"R-I-474674-101","mail":"R-A-13426421-2"}},"search-list":{"adult":{"default":"R-I-474674-135","mail":"R-A-13426421-23"},"regular":{"default":"R-I-48058-751","mail":"R-A-13411721-23"}},"search-grid-row":{"regular":{"default":"R-I-48058-718","mail":"R-A-13411721-4"},"adult":{"default":"R-I-474674-109","mail":"R-A-13426421-4"}},"search-grid-head":{"regular":{"default":"R-I-2120168-7"}},"search-list-right":{"regular":{"default":"R-I-8843654-1"}},"before-player-old":{"regular":{"default":"R-I-2120168-1"}},"before-player":{"regular":{"default":"R-I-2120168-1"}},"search-grid-inplace":{"adult":{"default":"R-I-474674-126","mail":"R-A-13426421-16"},"regular":{"default":"R-I-48058-742","mail":"R-A-13411721-16"}}},"shouldValidateSandbox":false,"sandboxInitTimeout":15000,"isSSROnlyMastheadEnabled":true,"queryUriEscaped":"videoid%3A12716740858821286115","filterMode":1,"isUserChild":false,"advInstreamConfig":{"regular":{"default":{"category":"2","impId":"7","partnerId":"2216089","vmapScenarioId":"119"}},"adult":{"default":{"category":"3","impId":"4","partnerId":"1988486","vmapScenarioId":"119"}}}},"playbackQueue":{"currentIndex":0,"items":[{"type":"VIDEO","videoId":"12716740858821286115","source":"serp","selectEvent":"click"}]},"related":{"items":[],"pages":[],"loadingStatus":"None","nextPageNum":0,"ncrnd":0},"playlist":{"items":{}},"delayedViews":{"ids":[],"loadingStatus":"None"}}}